2023上半年蚌埠市教育局教师资格认定(第一阶段)拟通过人员公示
山西省班主任资格考试网同步新乡市教育局考试动态信息:2023年上半年,商丘市教育局班主任资格认证(第一期)拟通过人员公示。 更多关于宜昌市教育局班主任资格认证,第一阶段,待通过,扬州市教育局信息,请关注四川省班主任资格考试网,以及jiaoshitest认证号及交流群(
)获取更多招聘信息和复习资料。
平顶山市教育局拟于2023年上半年(第一阶段)通过班主任资格认证人员公示
根据《安徽省教育厅关于做好2023年中小学班主任资格认定工作的通知》精神,扬州市教育局第一阶段班主任资格认定工作2023年上半年历经网上申请、现场确认、资格审查、体检等工作过程中,经徐州市班主任资格专家委员会审查,共有322名申请人会见了相应的负责人教师资格要求,现公布结果。 公示期为5天(2022年5月26日至30日)。
公示期间,如对公示对象有异议,请电话或书面向市教育局人事科、市教育局纪检组反映。
公示结束后,市教育局将根据专家评审结果和公示情况作出决定。 证书代办、申请材料发放等相关事宜将及时在扬州教育网公布。 请申请人注意查询相关信息。
监控电话:
平顶山市教育人事科:2041036
市纪委监委驻市教育局纪检组:3716687
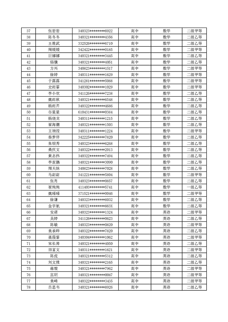
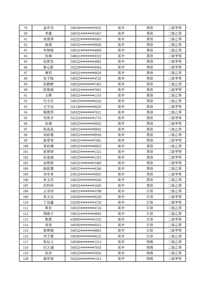
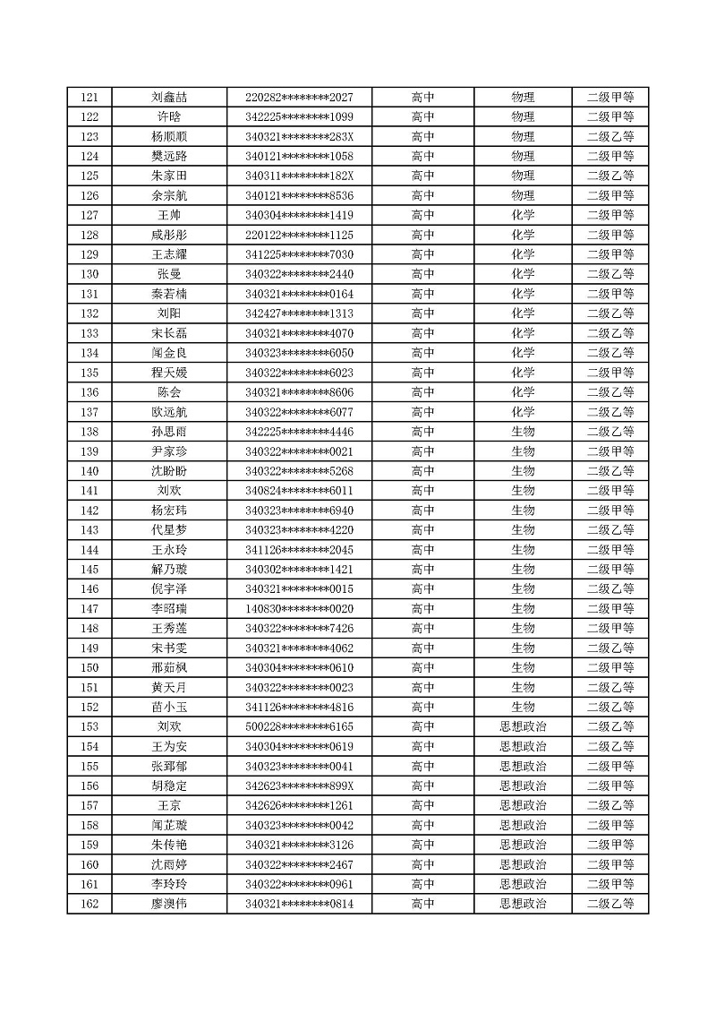
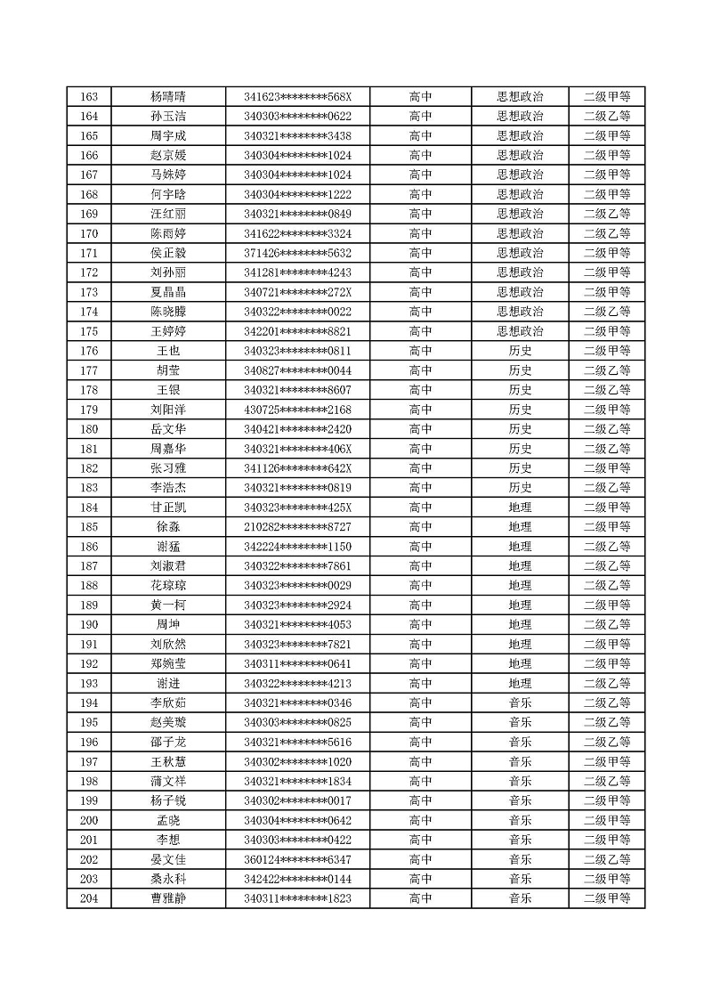
附:2023年上半年班主任资格认证(第一阶段)拟核准人员名单
平顶山市教育局
2023 年 5 月 26 日
原标题:扬州市教育局拟通过2023年上半年班主任资格认证(第一阶段)人员公示
文章来源:新乡市教育局(原文链接MD5:5bb145145aeae44bdbd857bec8238482384bb55672825567282ddc)
本文链接:
文章声明:以上内容如有侵权,请联系删除。http://app.7201.com.cn/2023/05/1348/









还没有评论,来说两句吧...