大学生需要提前掌握的职场技巧
关于作者
本书作者闻道老师:他是一个“不安分”的年轻人。 他选择土耳其作为旅游目的地。 11月,他去参加了潜水认证考试。 他听说他的下一个目标是去南非。 工作8年,收入比以前增长了10倍。 这是他总结出来的最重要的3个方法,我把它们分享给大家。 请检查金额。
01
不要成为主攻手,要解决问题
三天前,同学圈有人转发了一篇文章:“3条聊天记录告诉你:工资2000和工资20000的区别!”,排除作者是著名大师陈安之,单说里面的几张图就颇有穿透力。
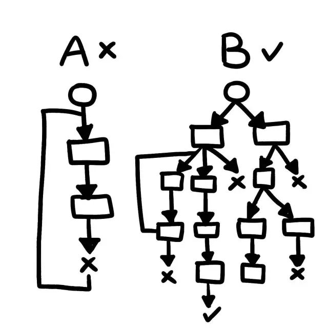
工作场所的A先生:
,
工作场所的B先生:
那么问题来了:如果你是一个领导,你喜欢A先生还是B先生?
请! ! 我不傻? ? 你说我要A先生还是B先生,你缺两个!
A先生一定是个听话的卡牌。 接到任务后,他就尽力完成,一个做了一个,另一个做了两个。 看起来他很努力,但是越做,他就越不满足。 那么到底出了什么问题呢?
“你是次要攻击者,还是问题解决者?”
我们很多人可能都像A先生一样,接到任务后,第一反应是“立即处理”职场技巧,并试图尽快汇报结果,却忘记了“订单背后的工作往往比订单本身要多得多”。 能不能做好,关键看你是否足够“主动”。
假设A先生负责整个事情,他不会只问“你会来吗?”之类的中间问题。 每次都是“星期几”? 我不这么认为。
“如果是我负责的话,这件事会怎么办?”
接到任务后,在做之前先问自己前面的问题,你一定会在充满“二传”的职场中脱颖而出!
02
状态好,放心
随着工龄的下降,越来越多的事情需要花大力气去做。 以前,我还是靠着“熬夜”二字征服了世界。
该报告将于本周到期
好吧,没问题,熬一上午就行了
本次活动将于3天内开启
好的职场技巧,没问题,住两晚就够了
而一次次醒来后,我发现自己又成了一个平时埋头睡觉的劳模了。 看着办公桌上彭小六的《让未来来吧》一书,周围的同事越来越害怕老石“让死亡来吧”……
我认为它必须改变
以下是我这三年来整理自己状态最有效的方法
❶ 早睡3小时往往不如起床1小时高效
❷如果思维已经进入“恍惚”状态,立即停止,去做点别的事情然后再回去继续
❸ 三天内最难、最讨厌的工作,如果没有其他线路可以配合,不要回避,先做吧!
❹ 整理工作台往往是投入产出比最高的工作
在这个社会上,没有人比其他人更笨。 我们要做的和运动员比赛前一样。 首先做好准备,不要让坏习惯和无用的家务干扰你的产出。
释迦牟尼佛在士多林时,看到地面不干净,就拿起扫帚清扫起来。 扫完后,他对弟子们说:“凡扫地者,有五胜:一是心静,二是心清,二是圣人欢喜,四是正气,五是死后生天。”
现在老石的办公桌上只有一台路由器、几个小黄人和一个工具篮,头上挂着一件澳大利亚艺术家的手工作品——Che和Lenon每天晚上都催促“兄弟,用点脑子”,到目前为止,够了!
03
磨练一门手艺
我喜欢看篮球比赛和踢足球比赛
在网球比赛中,雷达图经常被用来展示球队的能力——面积越大,能力越强。即使是打过几场比赛的人也会知道,雷达图是这样的
与这样的成长相比
在球场上,使用起来无限方便! !
原因很简单:由于特殊性
在个人成长的道路上更是如此!
木盆论已经害了我们很多年了。 在我们追求中庸的文化背景下,虽然弥补自己的弱点是顺理成章的事,但你常常会发现,你一生都无法弥补自己的弱点!
只有长,才能让人看见!
广州亚运会闭幕式核心编剧之一王潮歌说:“我的板子都是短的,但我有一块长板,就是我的文笔好。文学给我带来的荣耀和荣誉,足以驱散我数学和数理方面的缺陷。”
王潮歌的作品
看,弱点? ? 人们不在乎! 人们依靠长板来工作和生活!
很棒的项目管理
精湛的沟通技巧
仔细的数据核算
优秀的演讲能力
这种事情可以让你在职场上独一无二。 如果你发现有一件事你可以轻松达到90分的水平,请立即振作起来,仔细思考,打磨它——问自己一个问题:“我可以把它变成一项技能吗?”
有人说:“我工作那么忙,哪里有那么多时间去想,打磨什么啊!?”
在这里,抛出一张我私藏的PPT——自从4年前听@秋叶的《时间管理》以来,这一页对我影响深远
时间的绝对值对每个人来说绝对相等,我们可以改变它的带宽(bandwidth):即做一件事有几个目标。 套用一句成功学习的经典名言:“你会看到一个新世界”
请相信,对于普通人来说,磨练一门技能是没有捷径的(如果你真的是某个领域的天才,在阅读本文之前你应该已经有所成就了),只有死亡。
而实现致命一击的最佳原材料就是你每天晚上所做的工作。
就拿我自己来举个栗子吧。 这几年的工作,让我做了很多人神都讨厌的无聊事情。 恐怕这东西现在还在毁掉你。 这是...
给大家展示一下我最早的PPT作品之一...
很糟糕? 而且,这部作品在当时的公司里已经足以被贴上“PPT前辈”的标签了!
忍住笑吧! !当大多数人都用2003版本的时候,我安装了2007版本,用了SmartArt,和开挂基本一样
自从有了这个标签,老石就特意对自己做的所有PPT进行了总结和分类。 几年时间,832个文件和近4GB的庞大积累“顺利”完成了……
仅仅积累肯定是不够的,你必须,但你必须输出,记录你的感悟,做成分享内容,短到和同学聊天的1分钟对话,长到半天甚至三天的完整分享。 将所有积累提取为可交换资源。 这样,你一定能减下来!
这是老师两个月的课程表。 通过这几年的不断积累和输出,PPT早已成为老石形成价值和交换的资源,而这一切只是日复一日的“顺利”
你看,虽然不是很难,但是这种积累是分解到每个晚上的时间里的。 与傻笑、刷同学圈相比,浪费的时间简直可以忽略不计。 如果你的板子不够长,现在就开始尝试上面的方法吧!
据说,30岁的时候,老师还做出了一个不安分的“小决定”——他在自己的时间线上挤出了一把水,开通了“闻道老师”公众号。
虽然我知道这是一个时间的“黑洞”,但老石只想给大家带来在这个小世界里带有老石独特气味的文章,比如:
说说经历:
这十一,我差点死在日本人手里
聊天视频:
《钢锯岭》:暴力作家的捍卫者之战
看技术:
作为一个正常人,我为什么要看到这个瘦子成功
运动说:
因为这8分钟的逆天,东京4年后会很热
所有的成长和积累都需要一个出口——我,一个“不安分”的年轻人,在这里等你! !
文章声明:以上内容如有侵权,请联系删除。http://app.7201.com.cn/2023/07/1721/


























还没有评论,来说两句吧...